jjcui8595
deepin
2022-07-21 05:14 怀疑跟字体有关
Reply Like 0 View the author
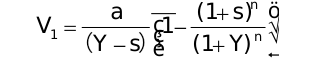
wps中编辑的公式,在windows操作系统下显示正常,在深度操作系统下如上图显示。不知道是什么原因。
怀疑跟字体有关
有可能是字体的原因,在新支点操作系统下,我知道如何增加字体,在深度操作系统下如何增加呢?

https://bbs.deepin.org/post/240558
下载好的字体文件,双击打开就行
用网友们提供的方法,安装了字体后,已解决。谢谢网友们
星火商店有个叫win字体的应用,安装后会直接将字体导入deepin,怕麻烦就用这个吧,虽然我没试过是不是真的行
星火商店有个叫win字体的应用,安装后会直接将字体导入deepin,怕麻烦就用这个吧,虽然我没试过是不是真的行
我是通过网友提供的方法处理的。把WINDOW操作系统下的字体文件存到一个文件夹,通过左下角启动器找到字体管理器安装,找到字体文件夹。很快就把所有的字体全安装了。
Popular Ranking
ChangePopular Events
More