jjcui8595
deepin
2022-07-21 05:07 给探索者点赞👍
Reply Like 1 View the author
给探索者点赞👍
系统稳定性,生态需要长时间积累。
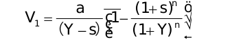
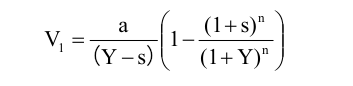
WPS中编辑的公式,在windows操作系统下显示正常,但在深度操作系统就变成这样了。
1.可能是配置太低,cpu性能弱,硬盘IO性能差等
2.WPS专业版可以打他们400电话采购
4.linux版本
谢谢网友们,果然是字体的问题,用启动器安装完字体,WPS文字公式问题已显示正常。今天不是进步了一大步。哈哈!
已正常显示
至于微软OFFICE,建议您参考这个帖子,我已經完成安装,还未使用。需要大家测试。
https://bbs.deepin.org/zh/post/240023

1.笔记本电源管理问题一直是deepin的硬伤,每个月都有人骂,等他们内核组慢慢弄吧
2.WPS专业版是有Linux版本的,可以去他们官网上搜刮一下,或者打客服电话咨询
谢谢网友们,在网友们的帮助下,进步不是一点点了。
👍
👍
Popular Ranking
ChangePopular Events
More
昨天还不错,一直在深度操作系统下工作。比新支点系统强太多!下面是我的一点体会!
让我惊喜的地方:
1、我习惯用的搜狗五笔输入法,能正常安装,新支点不行;
2、能够挂载识别WINDOW操作系统下的磁盘,而且可以复制粘贴文件,在新支点不行;
3、截图录屏软件,免费使用,而且能够OCR图片中的文件,我在window操作系统下,需要买会员才能实现;
4、百度网盘、腾迅会议等常用软件均能正常安装使用,新支点无法安装百度网盘;网易云音乐在新支点下无法使用中文输入;
总结:惊喜的地方还有很多,以后慢慢总结吧!
需要完善以及需要帮助解决的地方:
今天本来也一直想强制自己在深度操作系统下工作,但有些工作逼的我不得不重新进入window操作系统:
1、在使用过程中,可能打开文件以及程序较多原因,死机了。瞎点了好久,关掉了一些程序才恢复正常(没有硬关机重启)。摸了一下笔记本下面,特别烫,是不是深度操作系统发热过大的原因造成死机。
2、经过近半年的摸索,我已经成功的摆脱了OFFICE的控制。工作需要具有宏功能的表格,在window操作系统下,安装了WPS专业版,能够胜任我的工作需求。但在深度操作系统下,我还没有找到安装WPS专业版的方法,所以今天我不得不切换到window操作系统下工作。
3、同样是WPS,WPS文字中做的公式,在深度操作系统下显示不正常,但在window操作系统下能正常显示,不知道是WPS的原因还是深度操作系统的原因造成的。详见附图。
4、微信使用过程中截图隐藏无法实现。